Fig. 5

Download original image
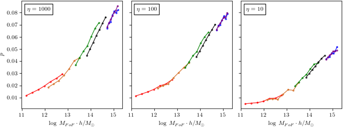
Removal of substructures and resolution effect. For the ΛCDM model, we consider several simulations with different computational box sizes and different numbers of particles. In each FoF halo, we remove substructures at a certain η level (the larger the η, the smaller the number of particles designated as belonging to the substructures – see main text). The prolaticity is then calculated on these treated halos where the substructures have been removed. It is plotted as a function of halo mass. For η = 1000 (left), the resolution effect mentioned above is still present: in a given mass range, increasing the mass resolution increases the median prolaticity of the treated halos. This effect is strongly attenuated when we choose η ≤ 100 (middle): the mass-prolaticity curves corresponding to the different resolutions are superimposed in the common halo mass domains. This allows us to attribute the numerical resolution dependence of the FoF halo shapes to the presence of substructures. However, at η = 10 (right), the overall prolaticity collapses: a too large fraction of the particles in the halo were considered as belonging to substructures and were removed. The ellipsoidal nature of the resulting halos is then strongly altered, and they are about half as prolate as they were before the substructures were removed. A reliable level, independent of the numerical resolution of the substructure suppression, can be considered when η = 100.
Current usage metrics show cumulative count of Article Views (full-text article views including HTML views, PDF and ePub downloads, according to the available data) and Abstracts Views on Vision4Press platform.
Data correspond to usage on the plateform after 2015. The current usage metrics is available 48-96 hours after online publication and is updated daily on week days.
Initial download of the metrics may take a while.