Fig. 6

Download original image
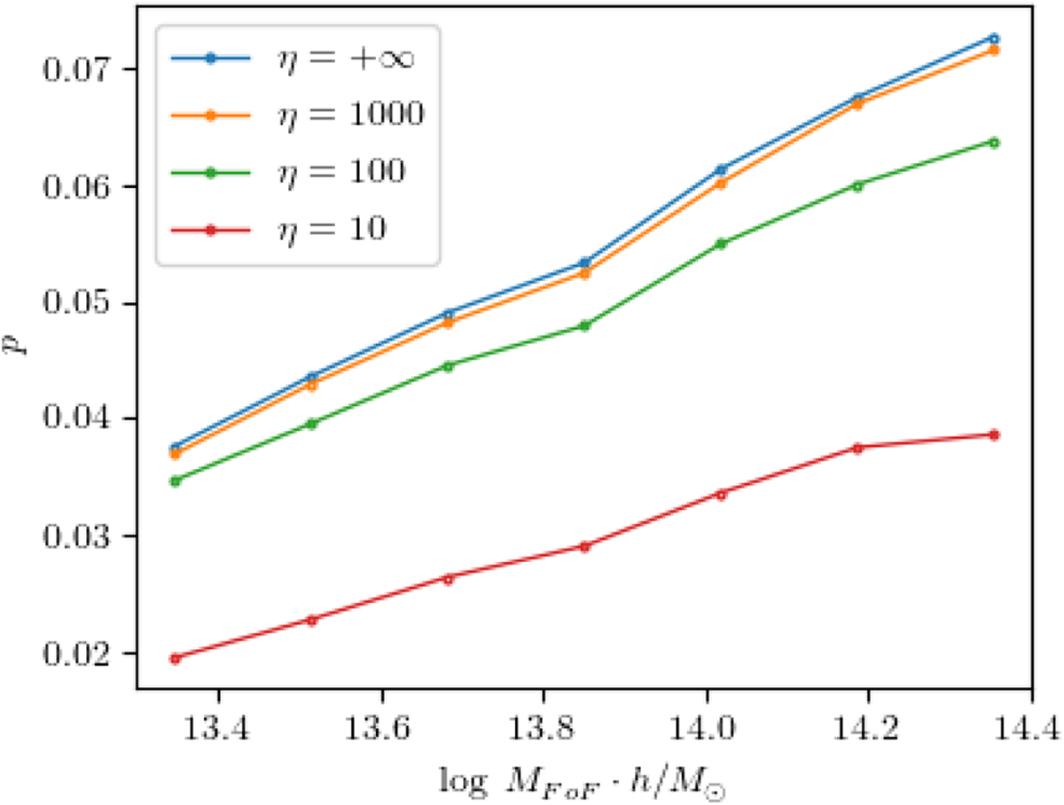
Effect of the stringency of substructure removal according to the η parameter on the overall prolaticity of halos. In the simulation L = 648 Mpc/h, N = 10243, we plot the median mass-prolaticity curves for halos treated with different substructure removal parameters η. By choosing η = +∞, no substructures are removed. The corresponding curve is only about 10% larger than that of the halo shapes at η =100, whereas it is twice as large as the halo prolaticity treated with η =10. The treatment of halos with η = 100 thus seems to be the most reasonable and does not artificially reduce their shape measurements to that of a sphere.
Current usage metrics show cumulative count of Article Views (full-text article views including HTML views, PDF and ePub downloads, according to the available data) and Abstracts Views on Vision4Press platform.
Data correspond to usage on the plateform after 2015. The current usage metrics is available 48-96 hours after online publication and is updated daily on week days.
Initial download of the metrics may take a while.