Open Access

Fig. 4

image

Download original image

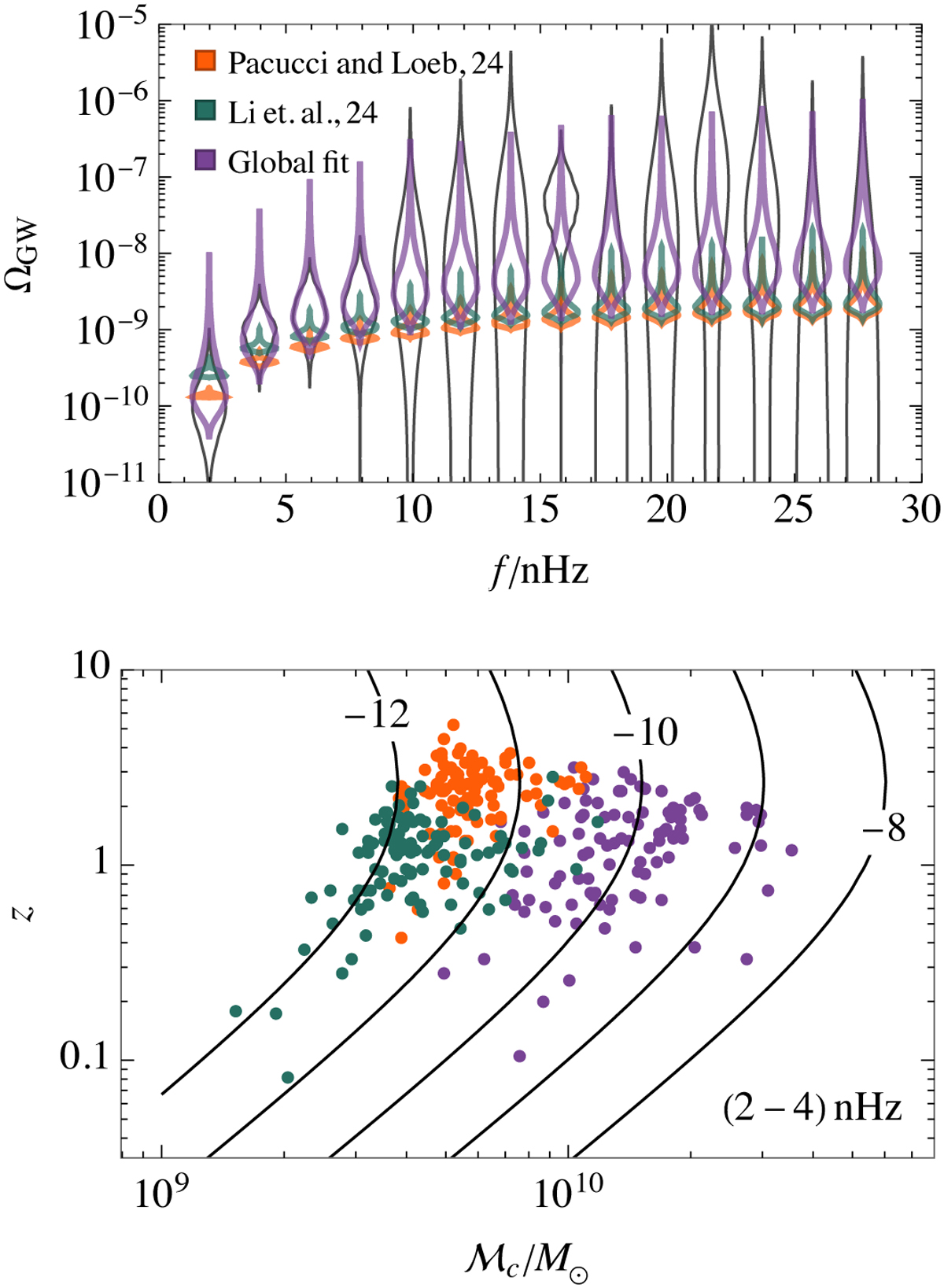
Upper panel: best-fit nanohertz GW signals found using the BH mass-stellar mass relations proposed in Pacucci & Loeb (2024), Li et al. (2024), and our global fit (3) compared to the signal measured by NANOGrav (grey). We imposed α = 8/3, as expected from gas infall (see the discussion below Eq. (12)). Lower panel: chirp masses and red-shifts of 100 realisations of the strongest binary contributing to the first bin of the upper panel for the scenarios proposed in Pacucci & Loeb (2024), and Li et al. (2024) compared with our analysis (Ellis et al. 2024a). Contours of log10ΩGW are shown for comparison.

Current usage metrics show cumulative count of Article Views (full-text article views including HTML views, PDF and ePub downloads, according to the available data) and Abstracts Views on Vision4Press platform.

Data correspond to usage on the plateform after 2015. The current usage metrics is available 48-96 hours after online publication and is updated daily on week days.

Initial download of the metrics may take a while.