Open Access

Fig. 5

image

Download original image

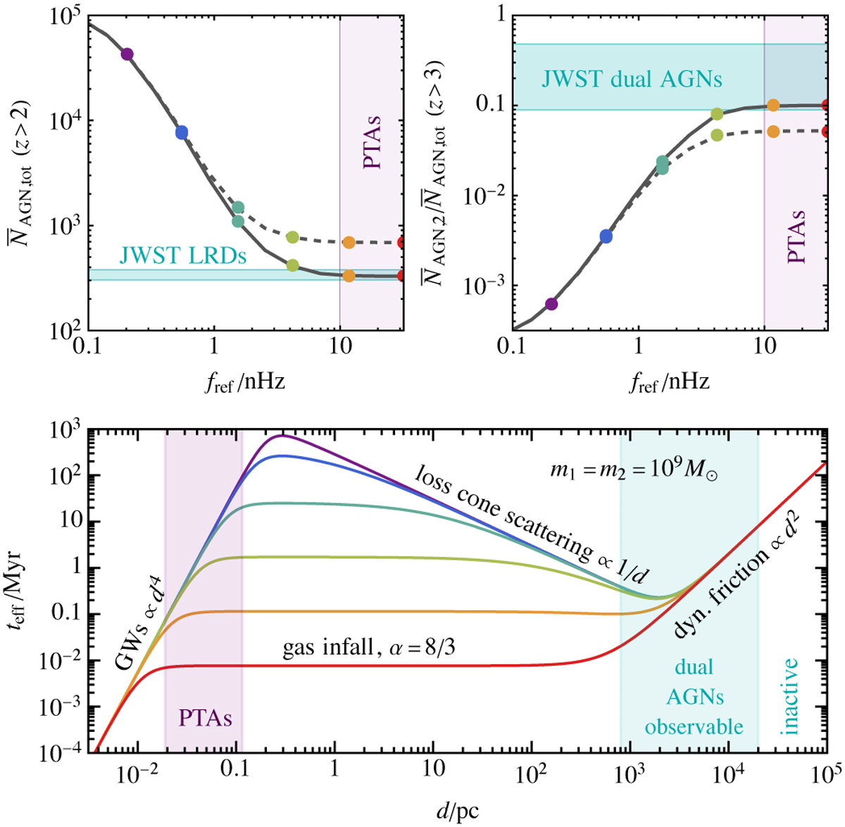
Upper panels: expected total number of AGNs at z > 2 and the expected dual fraction at z > 3 as a function of the reference frequency, below which the binaries are driven by GW emission, assuming pBH = 0.2, α = 8/3, Adyn = 0.001, and Ash = 1. The dashed and solid curves are with and without galaxy mergers and where one of the galaxies does not contain an SMBH. Lower panel: illustration of the timescales of the environmental energy loss mechanisms of SMBH binaries as functions of their separations for the same parameter values as in the upper panels. The vertical bands illustrate the separation ranges probed by the PTAs and by the JWST dual AGN observations. The colour coding of the curves matches that shown in the upper panels.

Current usage metrics show cumulative count of Article Views (full-text article views including HTML views, PDF and ePub downloads, according to the available data) and Abstracts Views on Vision4Press platform.

Data correspond to usage on the plateform after 2015. The current usage metrics is available 48-96 hours after online publication and is updated daily on week days.

Initial download of the metrics may take a while.