Open Access

Fig. 6

image

Download original image

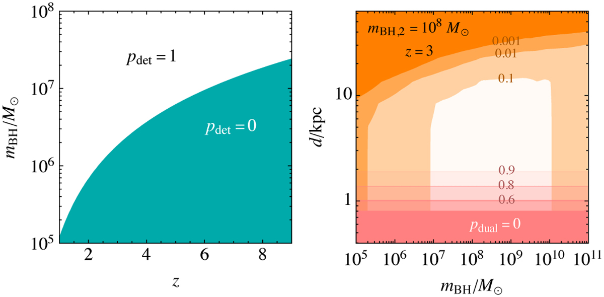
Left panel: detectability probability, pdet, arising from the JWST sensitivity threshold on the flux. Right panel: dual identification probability, pdual, at z = 3 arising from the JWST angular resolution, shown by the red regions. The orange regions show the probability that both galactic nuclei are active for mBH,2 = 108M at z = 3.

Current usage metrics show cumulative count of Article Views (full-text article views including HTML views, PDF and ePub downloads, according to the available data) and Abstracts Views on Vision4Press platform.

Data correspond to usage on the plateform after 2015. The current usage metrics is available 48-96 hours after online publication and is updated daily on week days.

Initial download of the metrics may take a while.