Open Access
Fig. 11.

Download original image
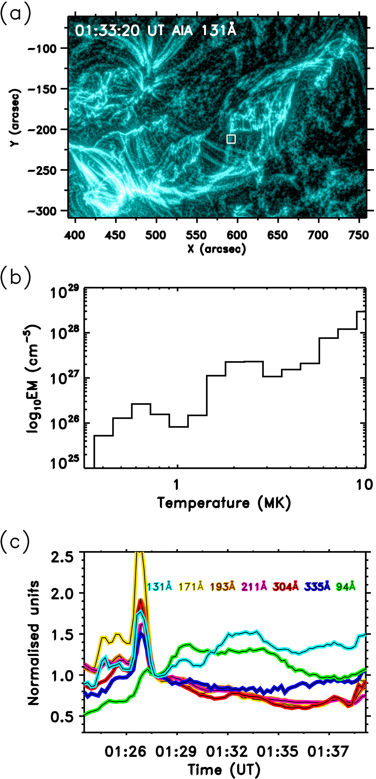
Temperature analysis of small region shown in the box in panel (a). In panel (b), the temperature analysis of that area using DEM is shown. In panel (c), the average intensity in the same area of all AIA wavebands is shown. The colours used are inspired by the respective AIA channel palette.
Current usage metrics show cumulative count of Article Views (full-text article views including HTML views, PDF and ePub downloads, according to the available data) and Abstracts Views on Vision4Press platform.
Data correspond to usage on the plateform after 2015. The current usage metrics is available 48-96 hours after online publication and is updated daily on week days.
Initial download of the metrics may take a while.