Fig. 7.

Download original image
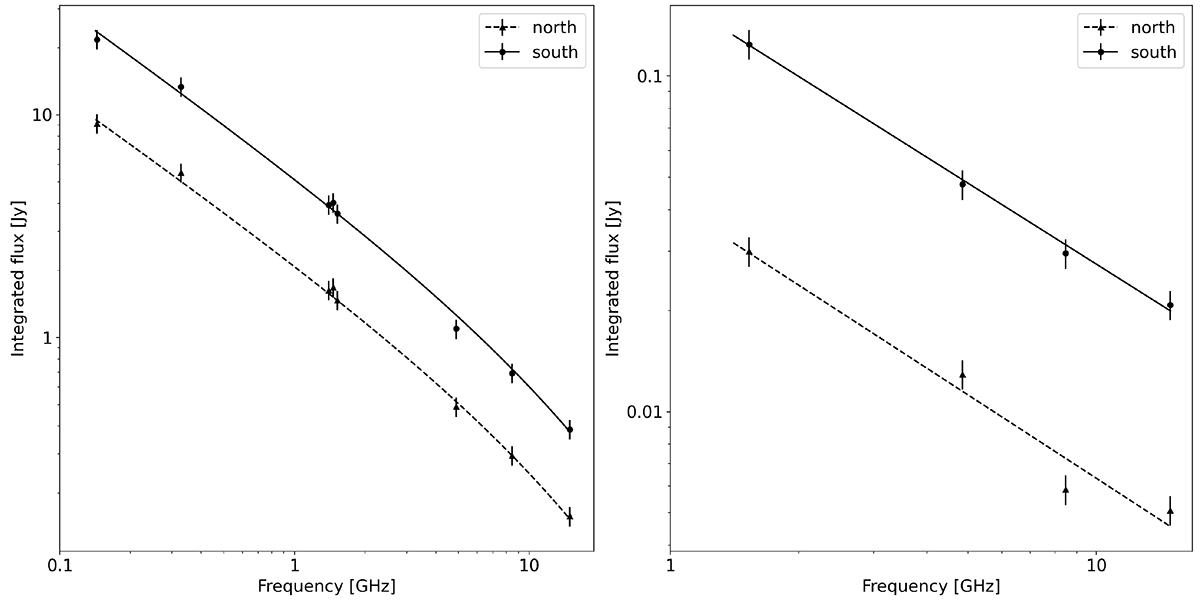
Results of spectral aging analysis for individual lobes based on integrated flux densities. The scale on the frequency and flux axes is logarithmic. A summary of each model is given in Table 3. Left: Outer lobes. The JP-Tribble model was used. In order to separate the plots, the measured and modeled fluxes for the northern lobe were rescaled by a factor of 0.5. Right: Inner lobes. The JP model was used.
Current usage metrics show cumulative count of Article Views (full-text article views including HTML views, PDF and ePub downloads, according to the available data) and Abstracts Views on Vision4Press platform.
Data correspond to usage on the plateform after 2015. The current usage metrics is available 48-96 hours after online publication and is updated daily on week days.
Initial download of the metrics may take a while.