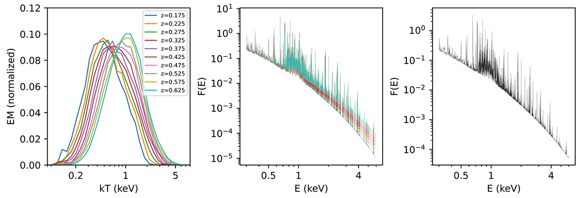
Fig. D.1.

Download original image
Left: Multi-temperature differential emission measure distribution of undetected X-ray halos at different redshifts after applying the selection. Middle: Corresponding composite spectra of each differential emission measure distribution at different redshifts. Right: Synthesis rest-frame spectral model of undetected X-ray halos by taking the filament sample length and redshift distributions into account.
Current usage metrics show cumulative count of Article Views (full-text article views including HTML views, PDF and ePub downloads, according to the available data) and Abstracts Views on Vision4Press platform.
Data correspond to usage on the plateform after 2015. The current usage metrics is available 48-96 hours after online publication and is updated daily on week days.
Initial download of the metrics may take a while.