Open Access
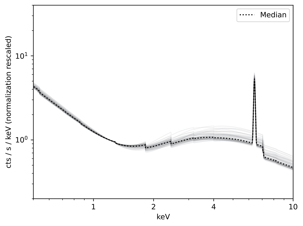
Fig. D.2.

Download original image
Individual undetected AGN spectral models in different redshift - stellar mass bins of the mock AGN catalog with the normalizations rescaled. The spectra show strong self-similarity in the soft band. The dotted is the median of all the spectra.
Current usage metrics show cumulative count of Article Views (full-text article views including HTML views, PDF and ePub downloads, according to the available data) and Abstracts Views on Vision4Press platform.
Data correspond to usage on the plateform after 2015. The current usage metrics is available 48-96 hours after online publication and is updated daily on week days.
Initial download of the metrics may take a while.