Fig. 8.

Download original image
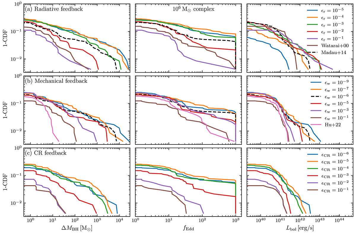
Parameter survey of the energy efficiency in different feedback mechanisms based on experiments with the 106 M⊙ complex. From left to right, the three columns show the CDF of accreted mass by BHs, as well as the highest possible fEdd and Lbol throughout the evolution. Each row represents a set of simulations with varying models of a specific feedback mechanism (labeled in each left panel), with the fiducial model marked in black dashed lines.
Current usage metrics show cumulative count of Article Views (full-text article views including HTML views, PDF and ePub downloads, according to the available data) and Abstracts Views on Vision4Press platform.
Data correspond to usage on the plateform after 2015. The current usage metrics is available 48-96 hours after online publication and is updated daily on week days.
Initial download of the metrics may take a while.