Open Access

Fig. 13.

image

Download original image

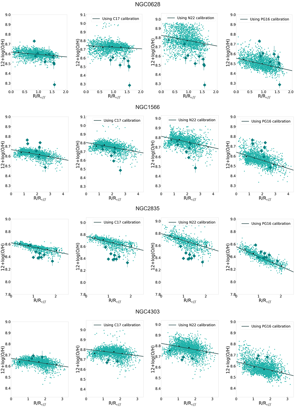
Radial metallicity gradients for galaxies NGC 0628, NGC 1566, NGC 2835, and NGC 4303. Metallicity estimates are obtained with our, C17, N22 and PG16 calibrations (from left to right) and reported as small dots in each panel. Big diamonds are the direct measurements, not used to calibrate gradients but reported for visualisation purposes. The solid lines represent the linear best fit performed by excluding data at r < 0.5 reff, and small black dots are the indirect metallicity median values evaluated in 0.36 reff, 0.81 reff, 0.46 reff, and 0.62 reff wide bins, respectively.

Current usage metrics show cumulative count of Article Views (full-text article views including HTML views, PDF and ePub downloads, according to the available data) and Abstracts Views on Vision4Press platform.

Data correspond to usage on the plateform after 2015. The current usage metrics is available 48-96 hours after online publication and is updated daily on week days.

Initial download of the metrics may take a while.