Open Access
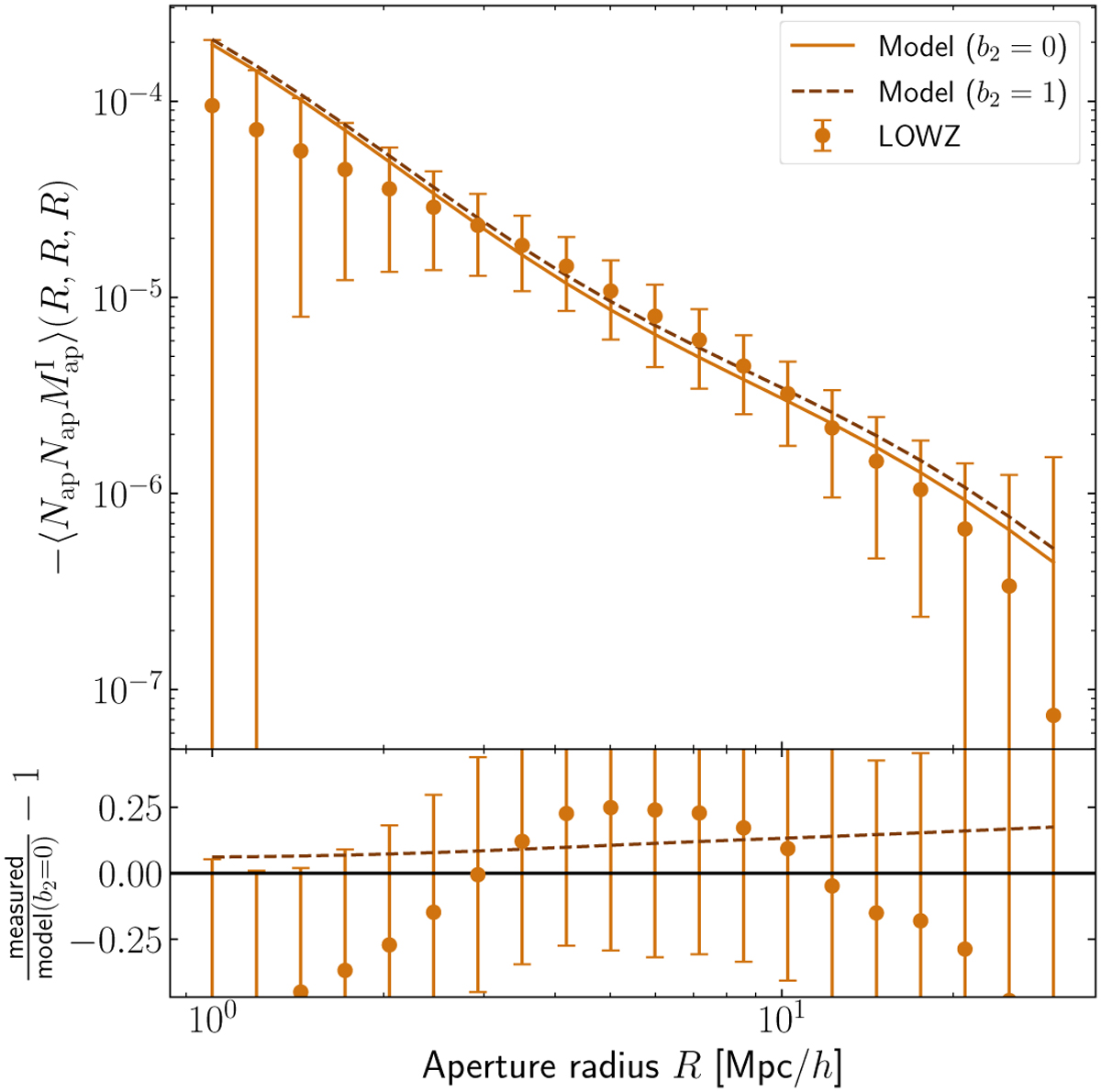
Fig. B.1

Download original image
Comparison of IA measurements for LOWZ sample with and without non-linear bias. Upper panel: Measurement of for full LOWZ sample (points), with model fit without non-linear bias (solid line) and same model but using b2 = 1 (dashed line). Lower panel: Relative difference to the model, which neglects non-linear bias.
Current usage metrics show cumulative count of Article Views (full-text article views including HTML views, PDF and ePub downloads, according to the available data) and Abstracts Views on Vision4Press platform.
Data correspond to usage on the plateform after 2015. The current usage metrics is available 48-96 hours after online publication and is updated daily on week days.
Initial download of the metrics may take a while.