Open Access

Fig. 10.

image

Download original image

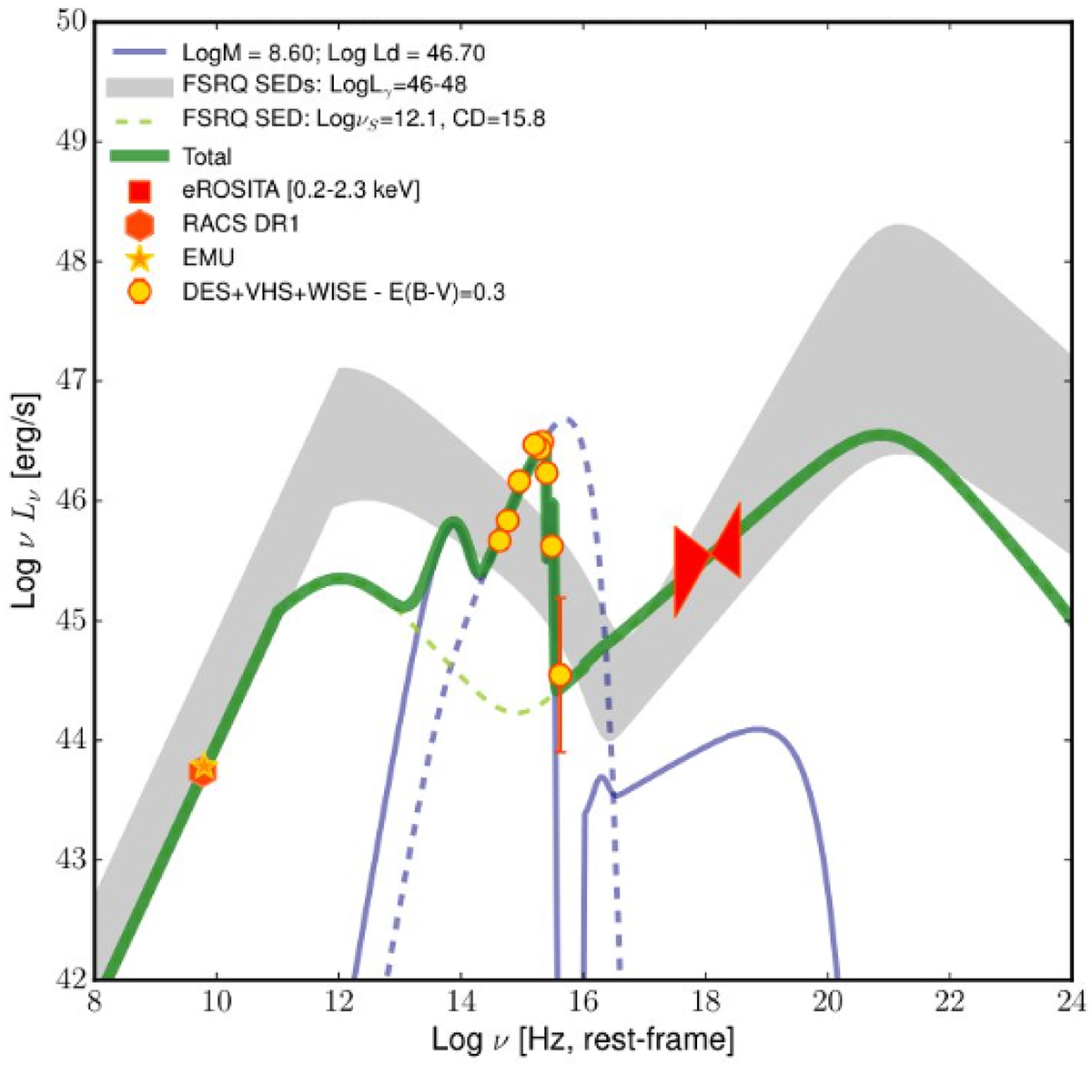
The broadband rest frame SED of J020916−562650. A range of typical FSRQ SEDs (Lγ ∼ 1046 − 48 erg/s, grey shaded region) and a more tailored blazar analytical model (solid green line) are overplotted to the data. The radio and X-ray emission of the source are consistent with the typical blazar double hump SED. Specifically, the X-ray emission significantly overestimates the expected X-ray coronal emission, extrapolated by the source accretion emission that dominates the optical/UV restframe photometry (yellow dots). The thermal emission is modelled here with a standard accretion disk emission, IR torus, and X-ray Corona powered by a black hole with the mass of log MBH/M = 8.60 (blue solid and dashed lines, the latter showing the unabsorbed accretion disk SED).

Current usage metrics show cumulative count of Article Views (full-text article views including HTML views, PDF and ePub downloads, according to the available data) and Abstracts Views on Vision4Press platform.

Data correspond to usage on the plateform after 2015. The current usage metrics is available 48-96 hours after online publication and is updated daily on week days.

Initial download of the metrics may take a while.