Open Access

Fig. 2.

image

Download original image

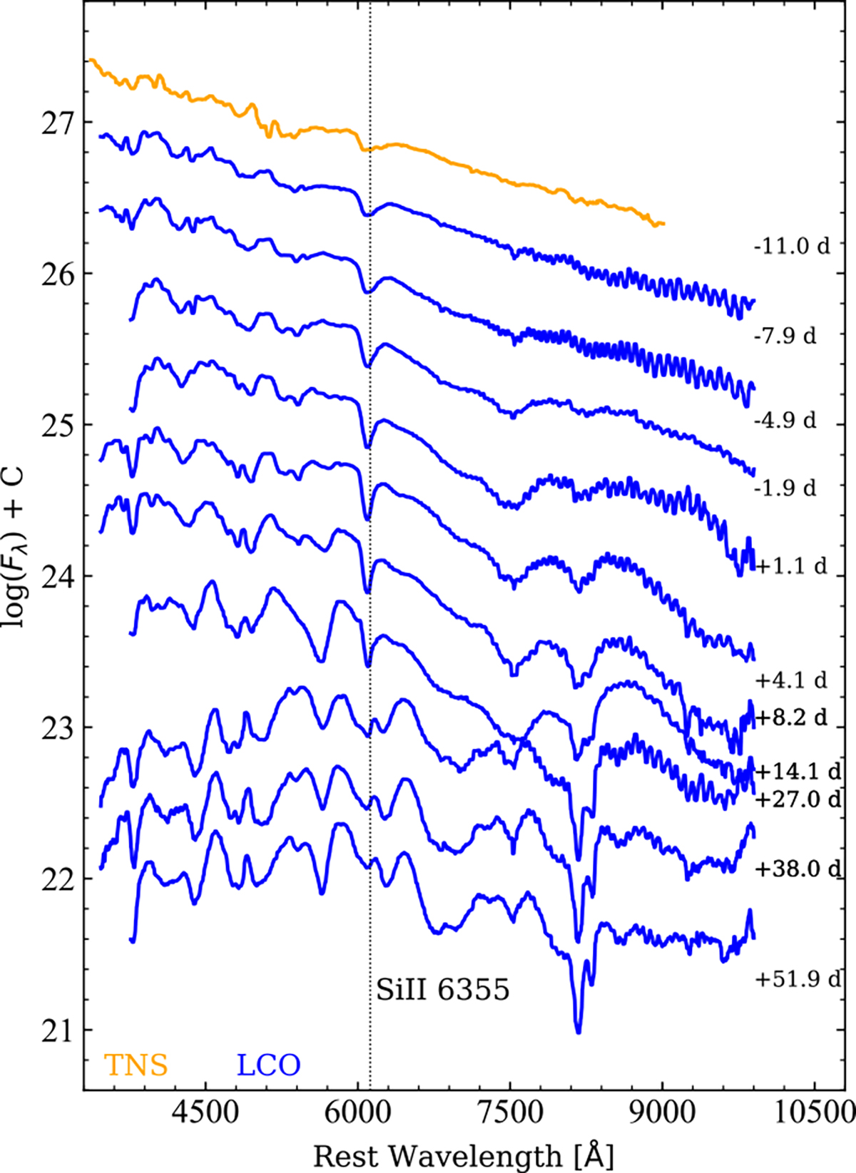
Optical spectral evolution of SN 2021wuf is presented in this study. All the spectra have been corrected for the redshift of the host galaxy and reddening. The spectral series of SN 2021wuf was obtained by LCO (depicted in blue) and TNS (depicted in orange), spanning the phases from −11 to +51.9 days. The epochs marked on the right side of the spectra represent the phases in days relative to the B-band maximum. Additionally, the vertical dashed lines indicate the absorption minima of the Si IIλ6355 absorption lines in the spectra of SN 2021wuf taken at t = +1.14 days.

Current usage metrics show cumulative count of Article Views (full-text article views including HTML views, PDF and ePub downloads, according to the available data) and Abstracts Views on Vision4Press platform.

Data correspond to usage on the plateform after 2015. The current usage metrics is available 48-96 hours after online publication and is updated daily on week days.

Initial download of the metrics may take a while.