Open Access

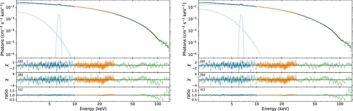
Fig. 5.

image

Download original image

Spectrum of 2S 1417−624 from 2–140 keV fitted by the cut-off PL with the gabs model (left plots) and the HIGHECUT with the gabs model (right plots). Panel a: Residuals χ ((data-model)/error) of the best-fitting model. Panel b: Residuals for the best-fit model without the 100 keV CRSF. Panel c: Residuals in terms of the data-to-model, ratio setting the strength of the 100 keV cyclotron line to zero.

Current usage metrics show cumulative count of Article Views (full-text article views including HTML views, PDF and ePub downloads, according to the available data) and Abstracts Views on Vision4Press platform.

Data correspond to usage on the plateform after 2015. The current usage metrics is available 48-96 hours after online publication and is updated daily on week days.

Initial download of the metrics may take a while.