Fig. 9

Download original image
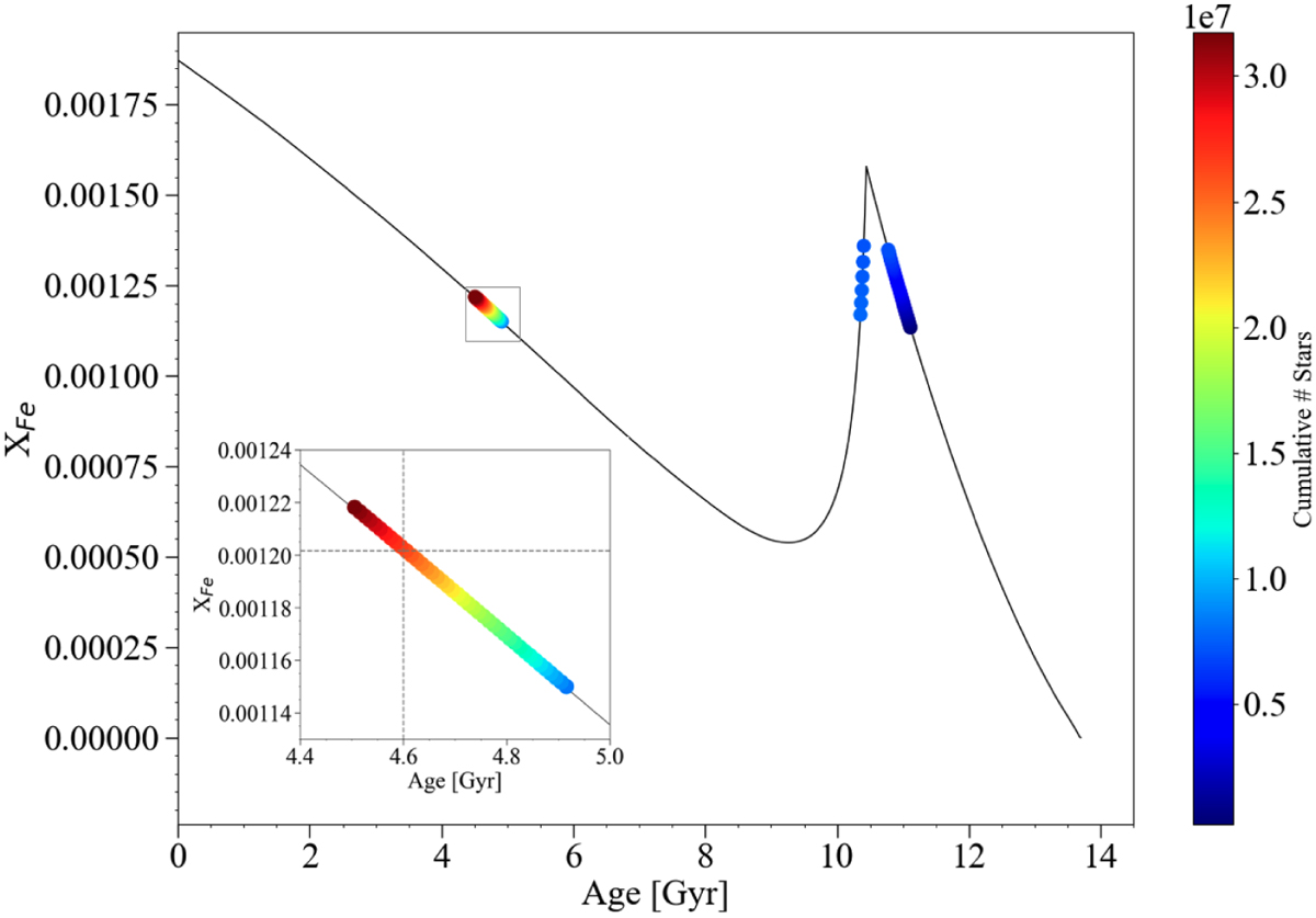
Iron mass fraction XFe versus Galactic age, obtained with our chemical evolution model for the solar vicinity. With the colour-coded points, we highlight the cumulative number of stars that share the same physical and chemical properties of our Sun formed from the beginning up to 4.6 ± 0.1 Gyr ago (see Sect. 4 for further details). In the inset plot we zoom in on the region with predicted Sun-like stars younger than 4.91 Gyr. The horizontal dashed line indicates the iron mass fraction predicted for our Sun born 4.6 Gyr ago (vertical dashed line).
Current usage metrics show cumulative count of Article Views (full-text article views including HTML views, PDF and ePub downloads, according to the available data) and Abstracts Views on Vision4Press platform.
Data correspond to usage on the plateform after 2015. The current usage metrics is available 48-96 hours after online publication and is updated daily on week days.
Initial download of the metrics may take a while.