Fig. A.1

Download original image
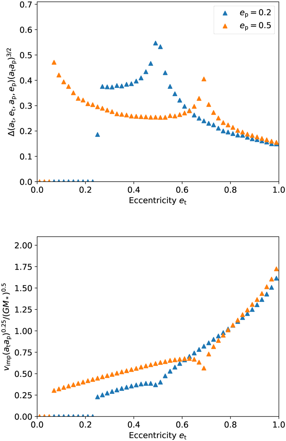
Test of the Monte Carlo code in 2D: geometric probability Δ (top panel) and the average impact velocity (bottom panel), calculated for test populations with semi-major axes at = 1.6, ap = 1.0 and assumed semi-opening angle ∈ = 8.5°, using the Monte Carlo code in two dimensions, for comparison with figure A.3 of Krivov et al. (2006).
Current usage metrics show cumulative count of Article Views (full-text article views including HTML views, PDF and ePub downloads, according to the available data) and Abstracts Views on Vision4Press platform.
Data correspond to usage on the plateform after 2015. The current usage metrics is available 48-96 hours after online publication and is updated daily on week days.
Initial download of the metrics may take a while.