Fig. 4

Download original image
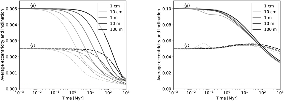
Evolution of average eccentricity (solid lines) and inclination (in radians; dashed lines) in a model of a collisional cascade with constant (model 1 in Table 1). The left- and right-hand-side panels show the low-excitation disc and high-excitation disc, respectively. Horizontal blue lines show the lowest grid bin values, i.e. the lowest values to which eccentricity and inclination can be damped in the model. See Sect. 4.2.
Current usage metrics show cumulative count of Article Views (full-text article views including HTML views, PDF and ePub downloads, according to the available data) and Abstracts Views on Vision4Press platform.
Data correspond to usage on the plateform after 2015. The current usage metrics is available 48-96 hours after online publication and is updated daily on week days.
Initial download of the metrics may take a while.