Fig. 7

Download original image
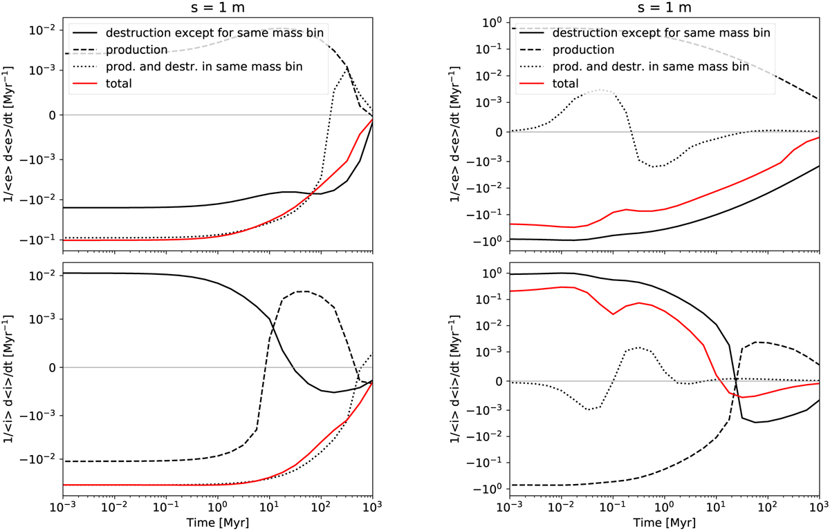
Rate of change of average eccentricity (top panels) and inclination (bottom panels) for 1 m bodies in the models shown in Figs. 3 and 4. The left- and right-hand-side panels show low-excitation disc and high-excitation disc, respectively. The total rate of change is shown in red colour, while the black lines show how different types of collisions contribute to the total rate (see plot legend and the explanation of the classification of collisions in Sect. 4.2).
Current usage metrics show cumulative count of Article Views (full-text article views including HTML views, PDF and ePub downloads, according to the available data) and Abstracts Views on Vision4Press platform.
Data correspond to usage on the plateform after 2015. The current usage metrics is available 48-96 hours after online publication and is updated daily on week days.
Initial download of the metrics may take a while.