Fig. 8

Download original image
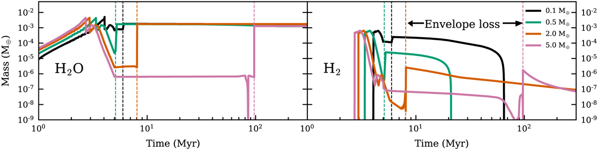
Evolution of the degassed atmospheric components in four example planets that formed with 4 times the initial water budget. The main difference from the nominal simulations in Figure 5 is the increased H2O and H2 content in the atmosphere after envelope loss, other atmospheric components remained unchanged. In addition, in this increased water accretion case, the 0.5 Earth mass planet also loses its entire atmosphere due to the increased presence of H2 driving atmospheric loss more easily.
Current usage metrics show cumulative count of Article Views (full-text article views including HTML views, PDF and ePub downloads, according to the available data) and Abstracts Views on Vision4Press platform.
Data correspond to usage on the plateform after 2015. The current usage metrics is available 48-96 hours after online publication and is updated daily on week days.
Initial download of the metrics may take a while.