Fig. 3

Download original image
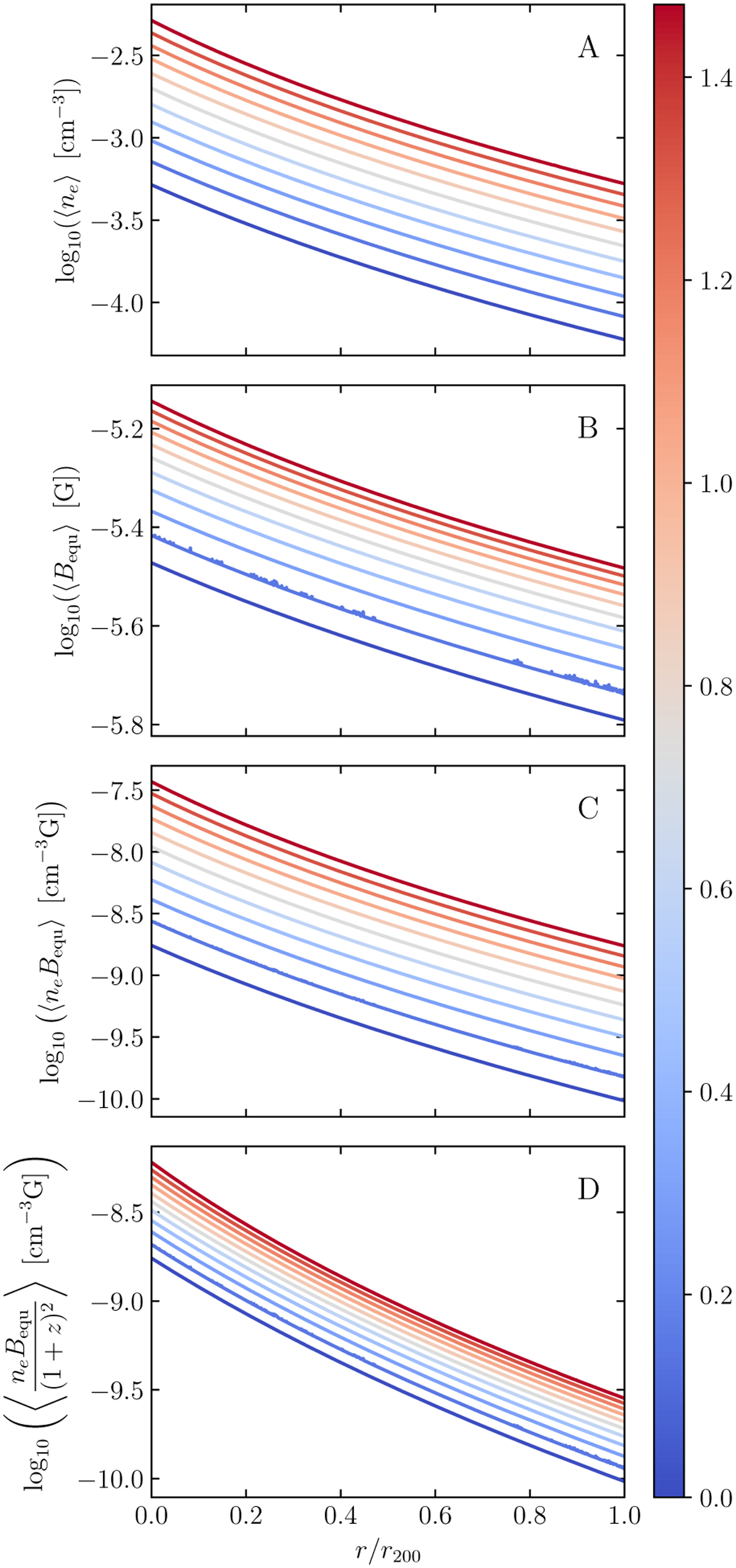
Radial distribution of the electron density (A), the equipartition magnetic field (B), and the product of the two with (D) and without (C) redshift dilution, for Mclust = 1015 M⊙ and ɀmax = 4. Each value at a given radius is the skew-normal median of the values of all Ntree = 103 MTs. We can see that the ne profiles decrease more than that of Bequ. Without redshift dilution, we would expect ne to play a major role in the RM decay. However, because of the (1 + ɀ)−2 factor, RM curves evolve very little over time.
Current usage metrics show cumulative count of Article Views (full-text article views including HTML views, PDF and ePub downloads, according to the available data) and Abstracts Views on Vision4Press platform.
Data correspond to usage on the plateform after 2015. The current usage metrics is available 48-96 hours after online publication and is updated daily on week days.
Initial download of the metrics may take a while.