Fig. 4.

Download original image
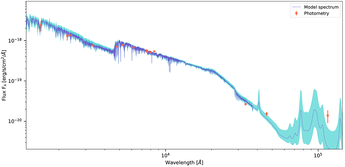
Host galaxy photometry and best-fit spectrum from PROSPECTOR. The model spectrum is red-shifted into the observer frame. A light blue shaded region encloses the 90% confidence interval on the posterior flux distribution at each wavelength. The photometry is from GALEX, PanSTARRS, WISE and HST/WFC3 as listed in Table 1, and is corrected for Galactic extinction with the Python module EXTINCTION at the filter effective wavelengths. The corresponding galaxy properties are listed in Table 2.
Current usage metrics show cumulative count of Article Views (full-text article views including HTML views, PDF and ePub downloads, according to the available data) and Abstracts Views on Vision4Press platform.
Data correspond to usage on the plateform after 2015. The current usage metrics is available 48-96 hours after online publication and is updated daily on week days.
Initial download of the metrics may take a while.