Fig. 14

Download original image
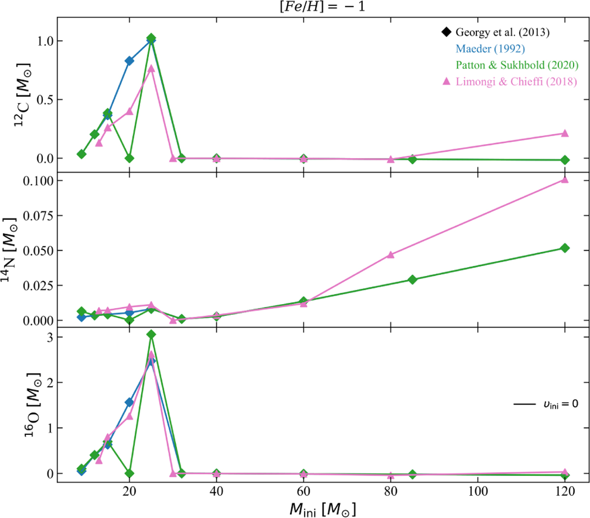
Stellar yields in M⊙ for CNO elements for non-rotating models with [Fe/H] = −1, from GENEC models (diamonds, Georgy et al. 2013) and Limongi & Chieffi (2018) (triangles, pink curves). The models have an initial mass range of 9 M⊙ ≤slant Mini ⩽ 120 M⊙. The blue curves of GENEC models correspond to the Maeder (1992) prescription of calculating the remnant mass, and the green curves to the Patton & Sukhbold (2020).
Current usage metrics show cumulative count of Article Views (full-text article views including HTML views, PDF and ePub downloads, according to the available data) and Abstracts Views on Vision4Press platform.
Data correspond to usage on the plateform after 2015. The current usage metrics is available 48-96 hours after online publication and is updated daily on week days.
Initial download of the metrics may take a while.