Fig. 8

Download original image
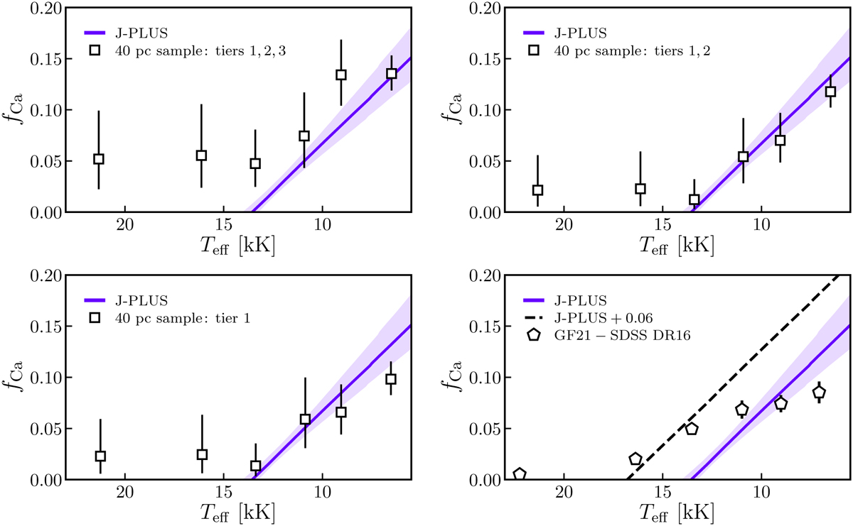
Fraction of white dwarfs with calcium absorption (ƒCa) as a function of the effective temperature (Teff). The J-PLUS model and its 68% confidence interval are shown with the purple line and area, respectively. The squares show the fractions derived from the 40 pc sample for three different tiers with increasing sensitivity to the presence of metal lines (see text for details). The pentagons are the fractions estimated with the SDSS DR16 spectra gathered in the GF21 catalog. The dashed line depicts the J-PLUS model with an addition of 0.06.
Current usage metrics show cumulative count of Article Views (full-text article views including HTML views, PDF and ePub downloads, according to the available data) and Abstracts Views on Vision4Press platform.
Data correspond to usage on the plateform after 2015. The current usage metrics is available 48-96 hours after online publication and is updated daily on week days.
Initial download of the metrics may take a while.