Open Access

Fig. 5.

image

Download original image

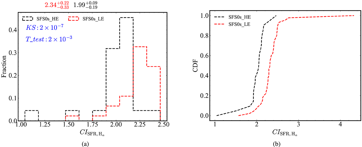
CISFR, Hα distributions and its Cumulative distribution function (CDF). (a) CISFR, Hα distributions. The blue numbers represent the results of the KS_test and T_test, and the different color numbers are the mean value of the two samples; (b) The CDF of the CISFR, Hα. Color markings are the same as in Figure 1.

Current usage metrics show cumulative count of Article Views (full-text article views including HTML views, PDF and ePub downloads, according to the available data) and Abstracts Views on Vision4Press platform.

Data correspond to usage on the plateform after 2015. The current usage metrics is available 48-96 hours after online publication and is updated daily on week days.

Initial download of the metrics may take a while.