Open Access

Fig. 18.

image

Download original image

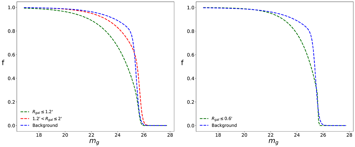
Radial completeness fraction in the g-band for both the on-galaxy and off-galaxy background fields. The fraction was determined by following the procedure described in Sect. 2.3 and also applying the selection criteria described in Sect. 4.5. Left panel: Radial completeness over NGC 3640. The green dashed line is the completeness function obtained within 1.2 arcmin from the galaxy center. The red dashed line is the completeness function between 1.2 and 2 arcmin from the galaxy center. The blue dashed line represents the mean completeness of the four background regions inspected along the annulus with an inner radius of 25 arcmin and an outer radius of 30 arcmin. Right panel: Radial completeness function over NGC 3641. The green dashed line is the completeness function within 0.6 arcmin from the center of the galaxy.

Current usage metrics show cumulative count of Article Views (full-text article views including HTML views, PDF and ePub downloads, according to the available data) and Abstracts Views on Vision4Press platform.

Data correspond to usage on the plateform after 2015. The current usage metrics is available 48-96 hours after online publication and is updated daily on week days.

Initial download of the metrics may take a while.