Open Access

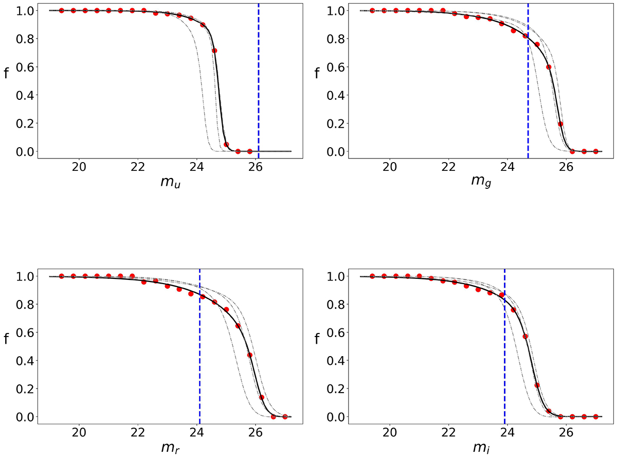
Fig. 4.

image

Download original image

Estimated completeness of the four passbands for both on-galaxy, including NGC 3640 and NGC 3641, and three off-galaxy regions in a box with a size of ∼6 × 6 arcmin2. Dark solid lines and gray dashed lines are the fitted Fermi function (Alamo-Martínez et al. 2013) for the on-galaxy and off-galaxy, respectively. Red dots are completeness measurements per magnitude bin for the on-galaxy region. Blue vertical dashed lines are the expected turn-over magnitudes in each passband (see Sect. 3.1). Upper row: estimated completeness of the u- and g-band, respectively. Lower row: estimated completeness of the r- and i-band, respectively.

Current usage metrics show cumulative count of Article Views (full-text article views including HTML views, PDF and ePub downloads, according to the available data) and Abstracts Views on Vision4Press platform.

Data correspond to usage on the plateform after 2015. The current usage metrics is available 48-96 hours after online publication and is updated daily on week days.

Initial download of the metrics may take a while.