Fig. 13.

Download original image
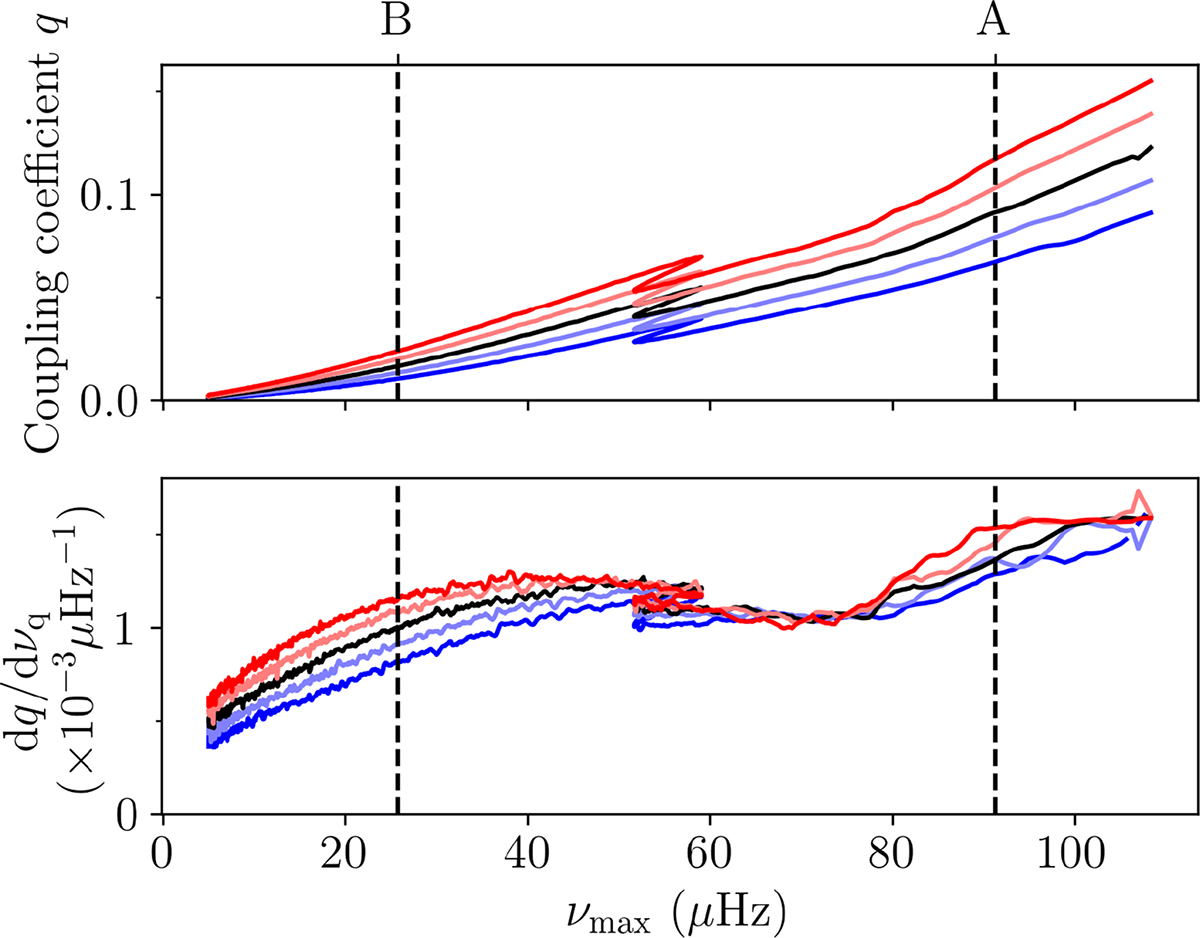
Coupling (top) and coupling gradient (bottom) as a function of νmax in a 1 M⊙ star with solar metallicity. The black line in each panel shows the values at νmax. The red line in each panel shows the values at νmax + 2Δν, light red at νmax + Δν, light blue at νmax − 2Δν, and blue at νmax − 2Δν. The vertical dashed lines show the locations of models A and B.
Current usage metrics show cumulative count of Article Views (full-text article views including HTML views, PDF and ePub downloads, according to the available data) and Abstracts Views on Vision4Press platform.
Data correspond to usage on the plateform after 2015. The current usage metrics is available 48-96 hours after online publication and is updated daily on week days.
Initial download of the metrics may take a while.