Open Access
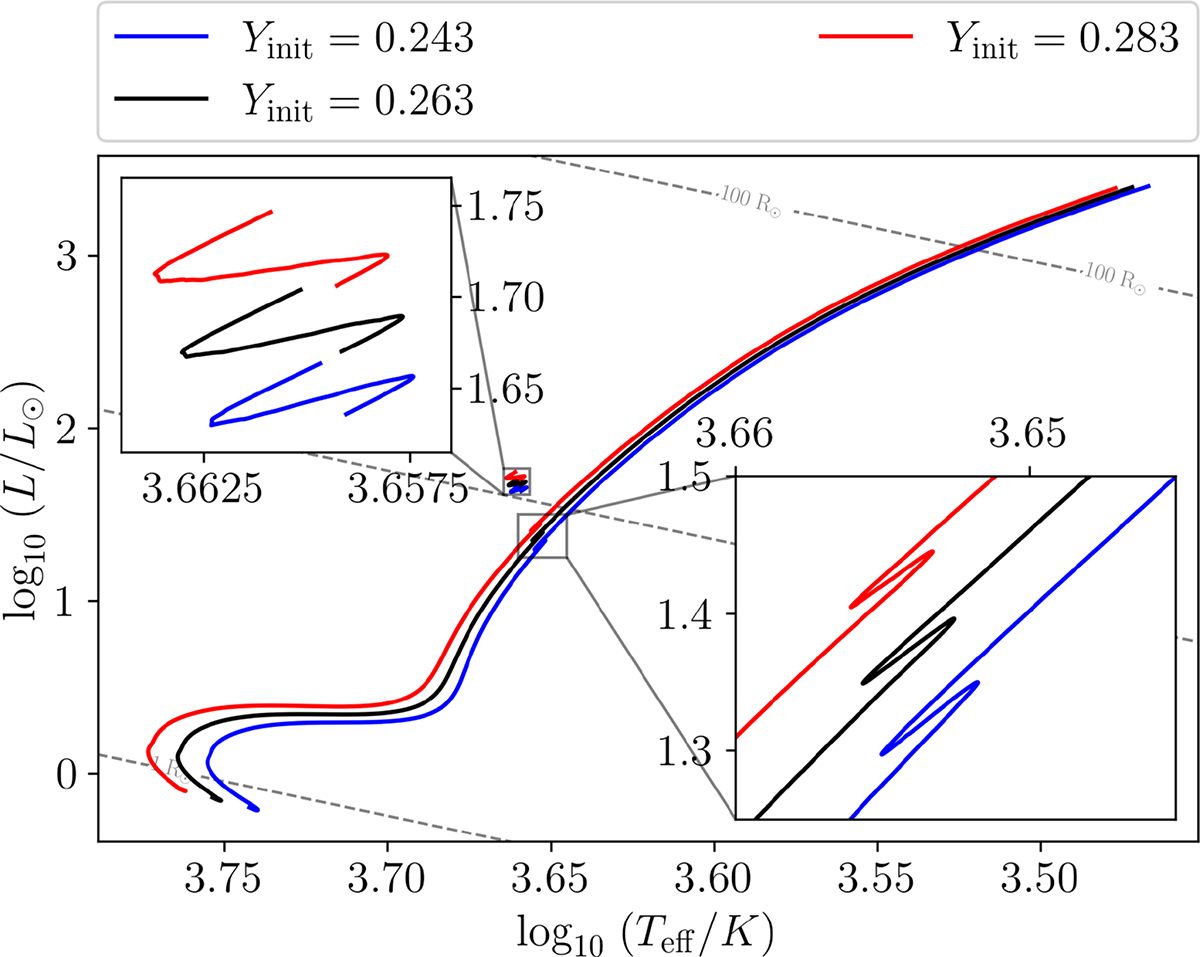
Fig. B.1.

Download original image
HRD tracks of modelled 1 M⊙ stars with initial helium abundances Yinit of 0.243 (blue), 0.263 (black), and 0.283 (red) . The helium flashes are removed for clarity. The upper left inset zooms in on the RC, and the lower right inset zooms in on the RGBb.
Current usage metrics show cumulative count of Article Views (full-text article views including HTML views, PDF and ePub downloads, according to the available data) and Abstracts Views on Vision4Press platform.
Data correspond to usage on the plateform after 2015. The current usage metrics is available 48-96 hours after online publication and is updated daily on week days.
Initial download of the metrics may take a while.