Open Access
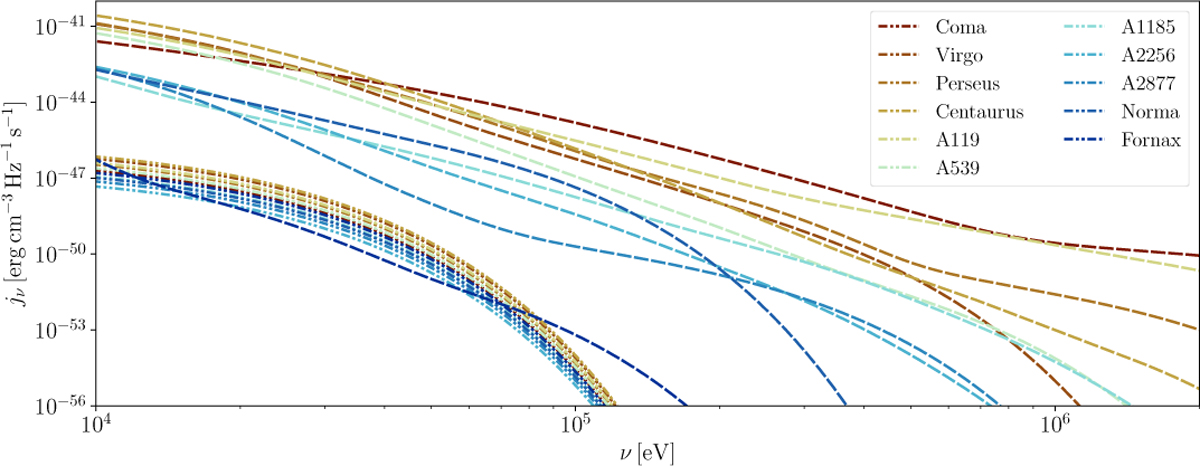
Fig. A.1

Download original image
Spectral plot for non-thermal AQN emission and thermal Bremsstrahlung emission of the hot ICM incorporating the spectra from sample 𝓑. Fornax, being the only galaxy cluster, shows a small region where AQN emission dominates gas emission.
Current usage metrics show cumulative count of Article Views (full-text article views including HTML views, PDF and ePub downloads, according to the available data) and Abstracts Views on Vision4Press platform.
Data correspond to usage on the plateform after 2015. The current usage metrics is available 48-96 hours after online publication and is updated daily on week days.
Initial download of the metrics may take a while.