Open Access

Fig. 7

image

Download original image

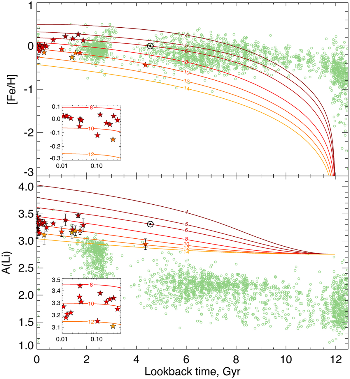
[Fe/H] (top) and A(Li) (bottom) as a function of age for the GALAH DR3 stars (green circles) and open clusters (five-pointed stars colour-coded according to their Galactocentric radius). The solid curves (colour-coded the same way as the open cluster symbols) show the model evolution of A(Li) in different radial zones (4, 5, 6, 8, 10, 12, and 14 kpc, from top to bottom). The insets in both panels focus on the very last 0.5 Gyr of the Galactic evolution. The Sun is formed at Galactocentric radius RGC 6 kpc, 4.56 Gyr ago.

Current usage metrics show cumulative count of Article Views (full-text article views including HTML views, PDF and ePub downloads, according to the available data) and Abstracts Views on Vision4Press platform.

Data correspond to usage on the plateform after 2015. The current usage metrics is available 48-96 hours after online publication and is updated daily on week days.

Initial download of the metrics may take a while.