Open Access

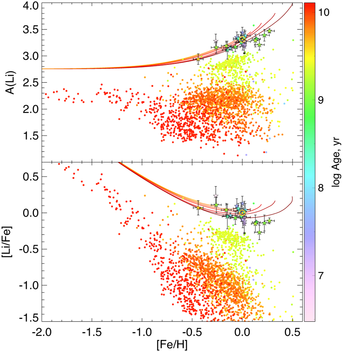
Fig. 8

image

Download original image

A(Li) and [Li/Fe] as a function of [Fe/H] (top and bottom panels respectively) for GALAH DR3 stars (circles) and open clusters from Romano et al. (2021) (five-pointed stars). The age of the stars and open clusters is colour-coded. In both panels, the solid curves show model A(Li) in different radial zones (4, 5, 6, 8, 10, 12, 14 kpc from bottom to top; the colours from dark red to orange are as in Fig. 7).

Current usage metrics show cumulative count of Article Views (full-text article views including HTML views, PDF and ePub downloads, according to the available data) and Abstracts Views on Vision4Press platform.

Data correspond to usage on the plateform after 2015. The current usage metrics is available 48-96 hours after online publication and is updated daily on week days.

Initial download of the metrics may take a while.