Fig. 2.

Download original image
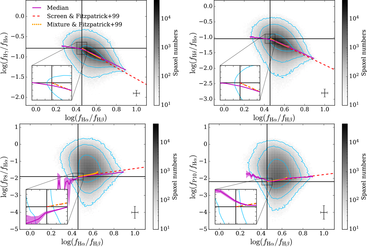
Comparisons between the predictions from two geometry models and the observed fHα/fHβ–fX/fHα line ratios for Hγ, Hδ, P8, and P10. The magenta curves and shaded regions indicate the medians and their 3σ uncertainties of the binned distributions, respectively. In each panel, the red dashed line denotes the predicted relation based on the foreground screen dust model, while the orange dotted line is the prediction based on the uniform mixture model. The Fitzpatrick (1999) dust extinction curve with RV = 3.1 is assumed in both cases. The background gray map shows the logarithmic number density of our sample, while the cyan contours enclose 68%, 95%, and 99% of the H II region spaxels, respectively. The horizontal and vertical black lines indicate the intrinsic values of the corresponding ratios based on the Case B recombination. The median uncertainties of the sample are given in the lower-right corner. A close-up of the region around the cross point of the intrinsic line ratios is shown in the lower-left inset of each panel.
Current usage metrics show cumulative count of Article Views (full-text article views including HTML views, PDF and ePub downloads, according to the available data) and Abstracts Views on Vision4Press platform.
Data correspond to usage on the plateform after 2015. The current usage metrics is available 48-96 hours after online publication and is updated daily on week days.
Initial download of the metrics may take a while.