Open Access
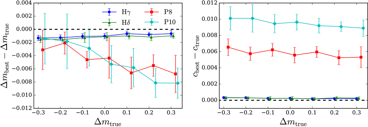
Fig. 6.

Download original image
Differences between the true and recovered Δm (using the minimize step only) as a function of the true Δm for our ΣSFR, cor-selected sample. The symbols with error bars indicate the means and standard deviations of the best-fit parameters for the 10 simulated samples in each case, respectively.
Current usage metrics show cumulative count of Article Views (full-text article views including HTML views, PDF and ePub downloads, according to the available data) and Abstracts Views on Vision4Press platform.
Data correspond to usage on the plateform after 2015. The current usage metrics is available 48-96 hours after online publication and is updated daily on week days.
Initial download of the metrics may take a while.