Open Access

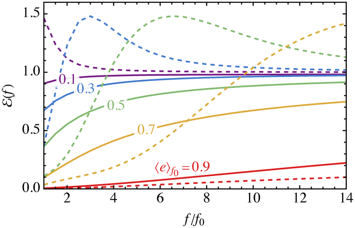
Fig. 2

image

Download original image

Function E defined in (21) that describes the modification of the mean GW spectrum caused by the binary eccentricities shown for power-law (solid) and delta function (dashed) initial eccentricity distributions and different values of mean eccentricity of the initial distribution fixed at f = f0.

Current usage metrics show cumulative count of Article Views (full-text article views including HTML views, PDF and ePub downloads, according to the available data) and Abstracts Views on Vision4Press platform.

Data correspond to usage on the plateform after 2015. The current usage metrics is available 48-96 hours after online publication and is updated daily on week days.

Initial download of the metrics may take a while.