Open Access

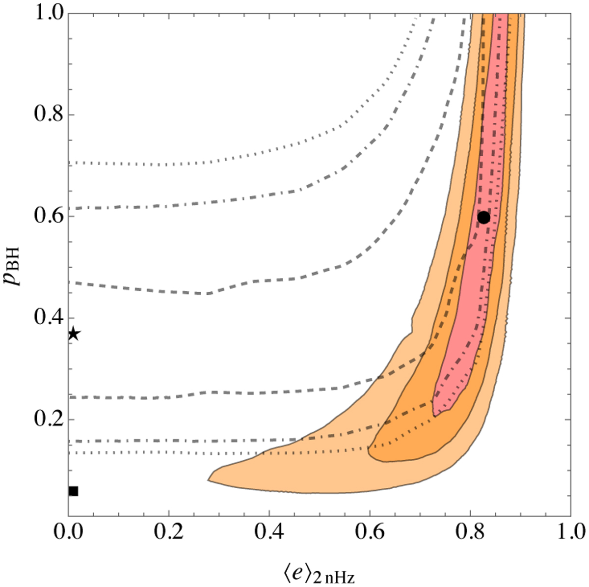
Fig. 7

image

Download original image

Fit of the eccentric SMBH binary model (solid) and a model with fixed environmental parameters (ƒref = 30nHz, α = 8/3,β = 5/8) with added eccentricity (dashed). Note that the confidence levels are shown for each fit separately, with the ratio between the 1σ contours of the purely eccentric and environmental+eccentricity model being ≈5. The black circle denotes the best-fit point in the model including eccentricities, while the black square/star indicate the best-fit points for circular binaries with environmental effects omitted/included.

Current usage metrics show cumulative count of Article Views (full-text article views including HTML views, PDF and ePub downloads, according to the available data) and Abstracts Views on Vision4Press platform.

Data correspond to usage on the plateform after 2015. The current usage metrics is available 48-96 hours after online publication and is updated daily on week days.

Initial download of the metrics may take a while.