Open Access

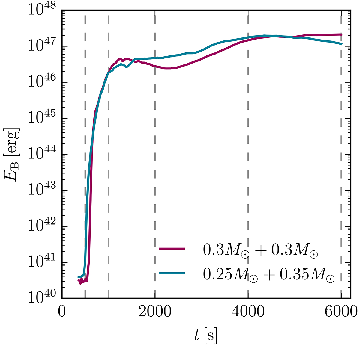
Fig. 2.

image

Download original image

Time evolution of the total magnetic energy in both merger simulations. Vertical dashed lines show the times of the slices in Figure 1. In both simulations the magnetic energy is amplified by more than five orders of magnitude in the first 1000 s in the actual merger. Then there is an additional phase of magnetic field amplification starting around 2000 s.

Current usage metrics show cumulative count of Article Views (full-text article views including HTML views, PDF and ePub downloads, according to the available data) and Abstracts Views on Vision4Press platform.

Data correspond to usage on the plateform after 2015. The current usage metrics is available 48-96 hours after online publication and is updated daily on week days.

Initial download of the metrics may take a while.