Open Access

Fig. 3.

image

Download original image

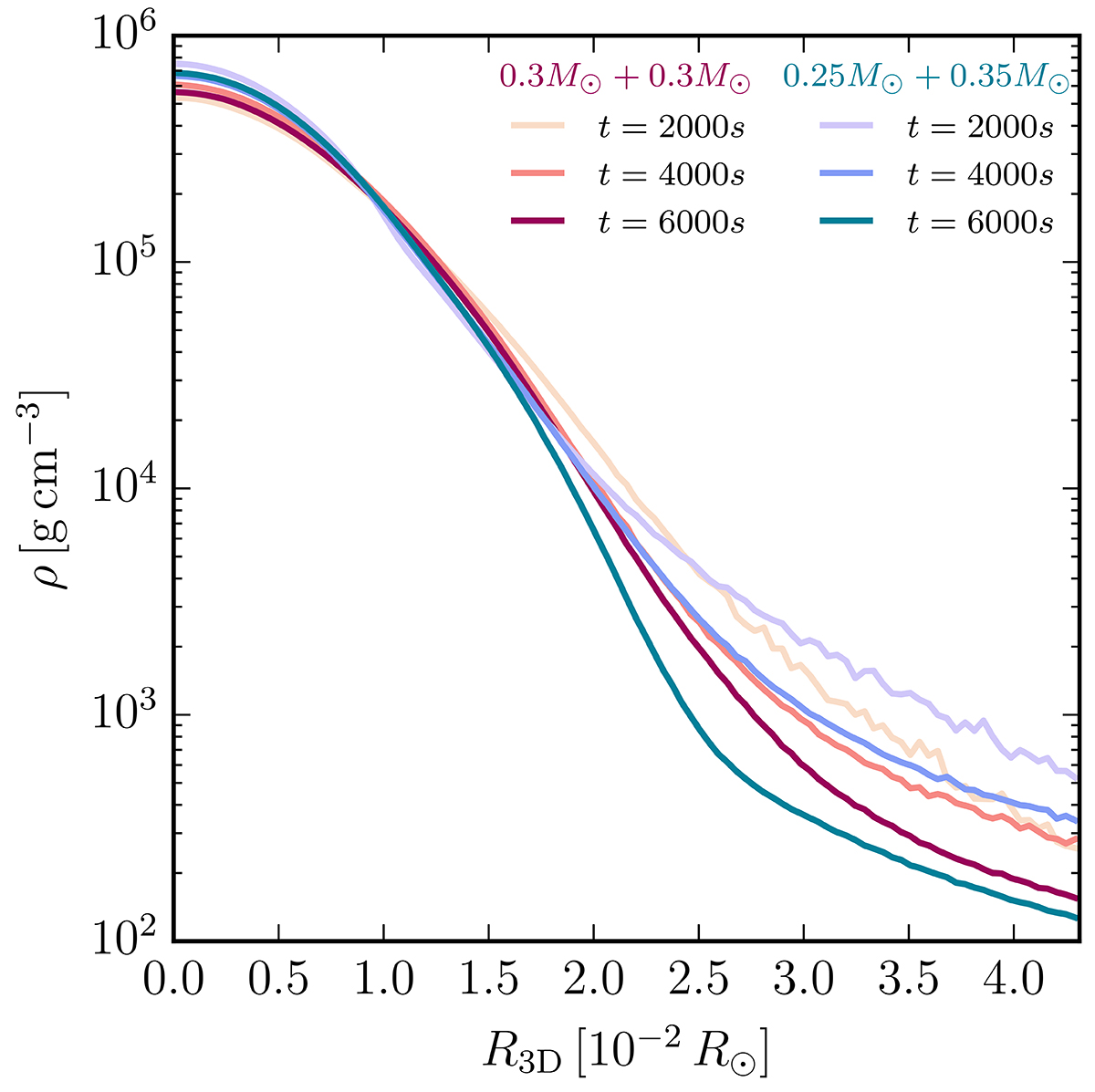
Spherically averaged density profiles of both merger remnants at 2000 s, 4000 s, and 6000 s (left panel). The density profiles agree between the two mergers for the whole range shown and evolve only slowly.

Current usage metrics show cumulative count of Article Views (full-text article views including HTML views, PDF and ePub downloads, according to the available data) and Abstracts Views on Vision4Press platform.

Data correspond to usage on the plateform after 2015. The current usage metrics is available 48-96 hours after online publication and is updated daily on week days.

Initial download of the metrics may take a while.