Open Access

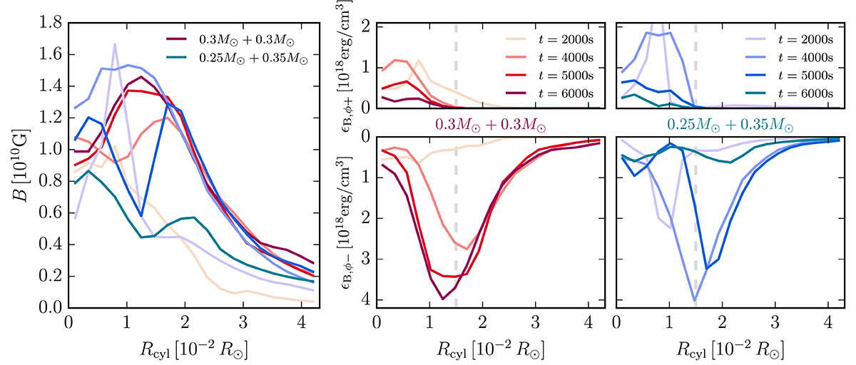
Fig. 5.

image

Download original image

Evolution of the radial profile of the volume weighted root mean square magnetic field strength (left panel) in a cylindrical disk with a height of 0.03 R centred on the mid-plane. The middle and right panels show the radial profiles of magnetic energy density in the azimuthal component of the magnetic field for the equal mass (red and middle panel) and unequal mass (blue and right panels) mergers. Their upper and lower panels shows the energy of all cells with a positive and negative azimuthal field component, respectively. The vertical line shows the radius of 0.015 R used in Figure 6. Both merger remnants significantly amplify the azimuthal magnetic field that is anti-aligned with the direction of rotation and it completely dominates over the aligned azimuthal field at 4000 s. In the unequal-mass merger remnant the azimuthal magnetic field then decays again significantly until 6000 s. In contrast, it remains strong in the equal-mass merger remnant until the end of the simulation without any sign of decay.

Current usage metrics show cumulative count of Article Views (full-text article views including HTML views, PDF and ePub downloads, according to the available data) and Abstracts Views on Vision4Press platform.

Data correspond to usage on the plateform after 2015. The current usage metrics is available 48-96 hours after online publication and is updated daily on week days.

Initial download of the metrics may take a while.