Open Access

Fig. 7.

image

Download original image

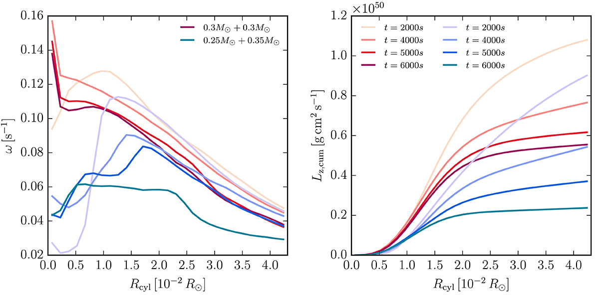
Evolution of the radial profile of the angular velocity in a cylindrical disk with a height of 0.03 R centred on the mid-plane (left panel) and of the cumulative angular momentum (right panel). The remnant of the unequal-mass merger (blue) initially has a declining omega profile for R > 0.01 R, but eventually evolves to a flat profile in angular velocity with a local jump around 0.025 R. Declining rotation profiles are unstable to the MRI. The remnant of the equal-mass merger keeps an outward, constantly declining angular velocity profile. The equal-mass merger (red) has and retains significantly more angular momentum in its inner parts shown here.

Current usage metrics show cumulative count of Article Views (full-text article views including HTML views, PDF and ePub downloads, according to the available data) and Abstracts Views on Vision4Press platform.

Data correspond to usage on the plateform after 2015. The current usage metrics is available 48-96 hours after online publication and is updated daily on week days.

Initial download of the metrics may take a while.