Open Access

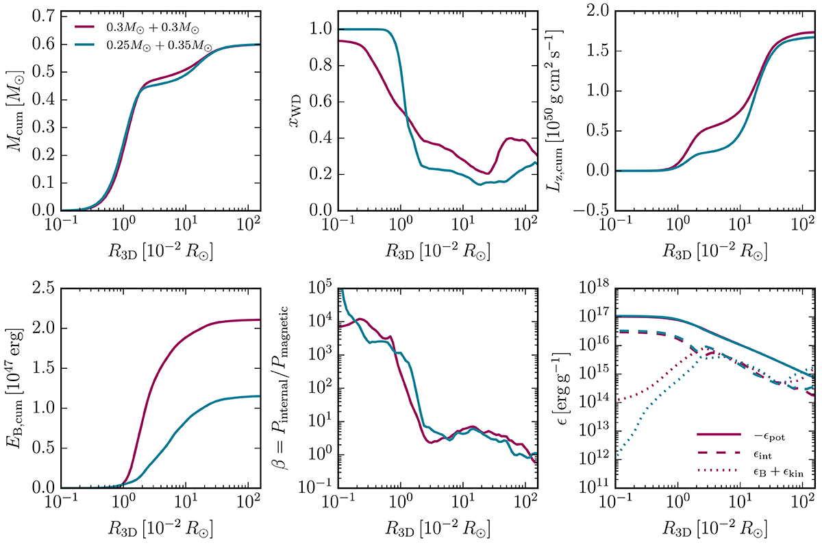
Fig. 8.

image

Download original image

Radial profiles in spherical shells of the merger remnants at the end of the simulations (6000 s). The panels show cumulative mass (top left), mass fraction of the material that originates from the white dwarf that eventually dominates the centre of the remnant, that is the more massive white dwarf for the unequal-mass merger (top centre), cumulative angular momentum (top right), cumulative magnetic energy (bottom left), plasma beta (bottom centre), and specific internal, magnetic plus kinetic, and potential energy (bottom right). Most of the magnetic energy sits in a relatively small shell between 10−2R < R3D < 10−1R. For the unequal-mass merger this is the region just outside the inert core of the initial primary white dwarf. At larger radii the magnetic pressure is almost comparable to the thermal pressure.

Current usage metrics show cumulative count of Article Views (full-text article views including HTML views, PDF and ePub downloads, according to the available data) and Abstracts Views on Vision4Press platform.

Data correspond to usage on the plateform after 2015. The current usage metrics is available 48-96 hours after online publication and is updated daily on week days.

Initial download of the metrics may take a while.