Open Access

Fig. B.1

image

Download original image

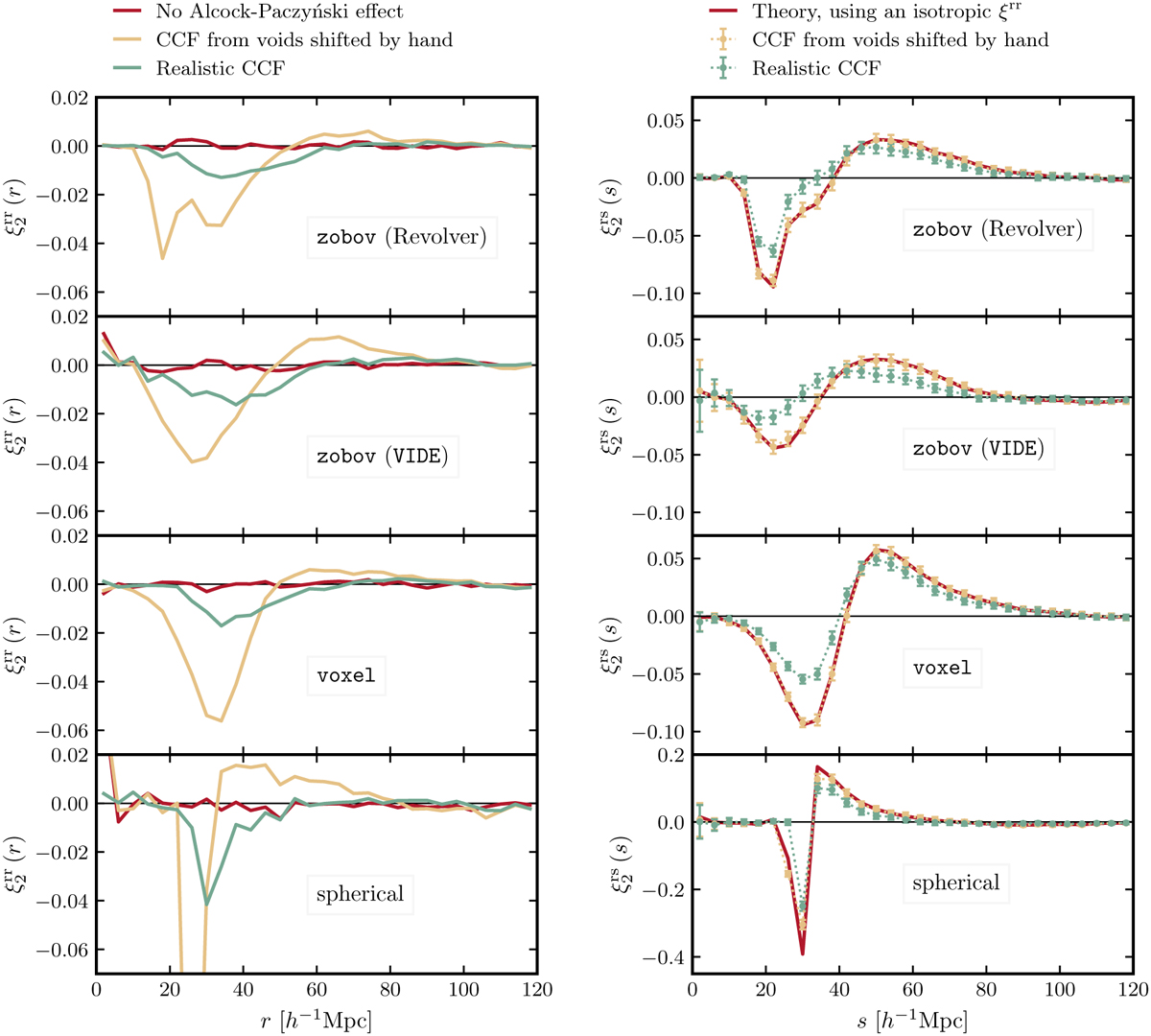
Quadrupole moments of the real and redshift-space CCFs for all void finders, with voids found in real space. Left: Quadrupoles of the real-space CCF in the true cosmology (red) and a fiducial cosmology with ε = 1.053 and q = 1 (yellow and green). The yellow line is the assumed case where voids move under AP distortion in the same way as halos, while the green line is the more realistic case where voids are found in the distorted halo field. Right: Quadrupoles of the redshift-space CCF in a fiducial cosmology which differs from the truth (ε = 1.053 and q = 1). In red we plot the theory prediction, calculated using a template ξrr.

Current usage metrics show cumulative count of Article Views (full-text article views including HTML views, PDF and ePub downloads, according to the available data) and Abstracts Views on Vision4Press platform.

Data correspond to usage on the plateform after 2015. The current usage metrics is available 48-96 hours after online publication and is updated daily on week days.

Initial download of the metrics may take a while.