Open Access

Fig. 2

image

Download original image

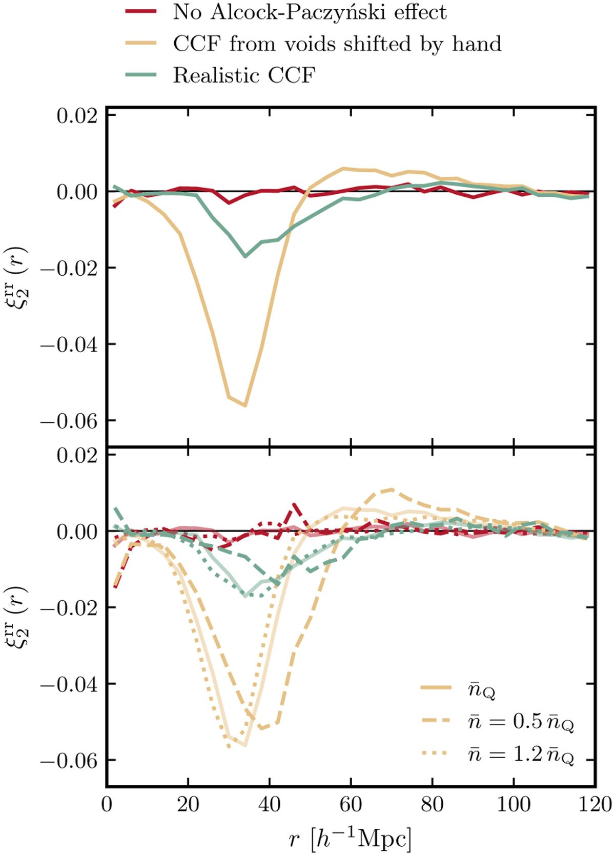
Quadrupole moment of the real-space CCF for voids in the true cosmology (red) and a fiducial cosmology with ε = 1.053 and q = 1 (yellow and green). The yellow line is the assumed case where voids move under AP distortion in the same way as halos, while the green line is the more realistic case where voids are found in the distorted halo field. There is a clear additional effect that imprints a signal in ξrr when voids are found in a distorted field. For demonstration purposes, the data shown here were obtained using voxel voids described in Sect. 4.2, but similar results apply for all void finders and can be found in Appendix B. The lower panel shows the same test on simulation boxes with different densities, including Quijote halos subsampled to half the original density, and NSERIES4 galaxies with 1.2 times the density of Quijote.

Current usage metrics show cumulative count of Article Views (full-text article views including HTML views, PDF and ePub downloads, according to the available data) and Abstracts Views on Vision4Press platform.

Data correspond to usage on the plateform after 2015. The current usage metrics is available 48-96 hours after online publication and is updated daily on week days.

Initial download of the metrics may take a while.