Open Access

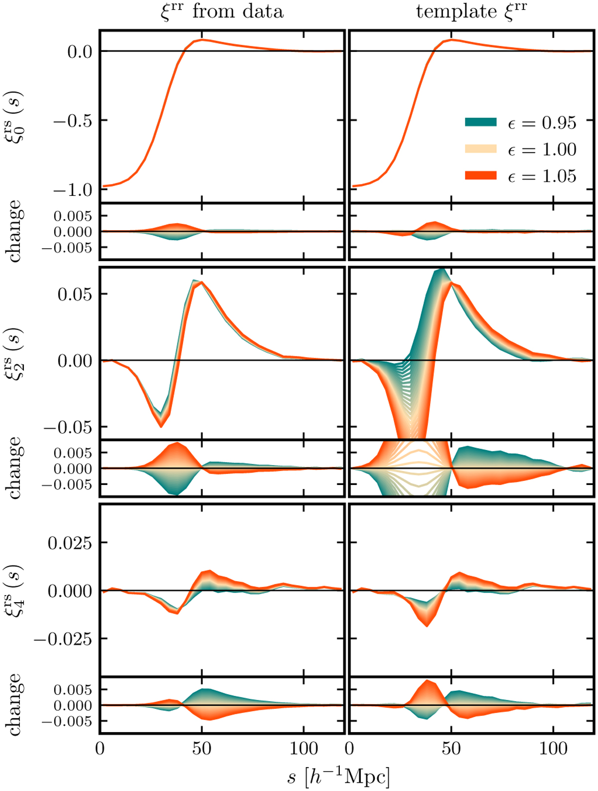
Fig. 4

image

Download original image

Theoretical redshift-space CCF calculated for a range of fiducial cosmologies. The left-hand side shows how the theory responds to changes in the AP distortion parameter ε when the real-space CCF ξrr comes from the data, while the right-hand side shows the same for the case when ξrr is given as a template from simulations. From top to bottom, the three large panels show the monopole, quadrupole, and hexadecapole, while the residuals show the difference between the multipoles at a given ε and the multipoles when ε = 1.

Current usage metrics show cumulative count of Article Views (full-text article views including HTML views, PDF and ePub downloads, according to the available data) and Abstracts Views on Vision4Press platform.

Data correspond to usage on the plateform after 2015. The current usage metrics is available 48-96 hours after online publication and is updated daily on week days.

Initial download of the metrics may take a while.