Open Access

Fig. 1.

image

Download original image

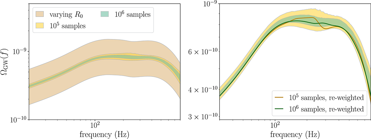
Impact of sample variance and reweighting on the ΩGW spectrum. Left: 95% confidence on the spectrum calculated using 105 (106) samples in yellow (green) drawn from a fixed hyperparameter distribution, compared to the 95% confidence on the spectrum including uncertainty on the local merger rate parameter in brown. Unsurprisingly, the sample variance varies significantly with number of samples and when using large sample numbers is subdominant compared to population parameter uncertainty. Right: sample variance from the left panel compared to reweighted estimates of the ΩGW spectrum. The reweighted spectra lie neatly within the sample variance uncertainty bounds, implying that the reweighted spectrum is indistinguishable from a regularly sampled spectrum, with these sample numbers.

Current usage metrics show cumulative count of Article Views (full-text article views including HTML views, PDF and ePub downloads, according to the available data) and Abstracts Views on Vision4Press platform.

Data correspond to usage on the plateform after 2015. The current usage metrics is available 48-96 hours after online publication and is updated daily on week days.

Initial download of the metrics may take a while.