Fig. 2.

Download original image
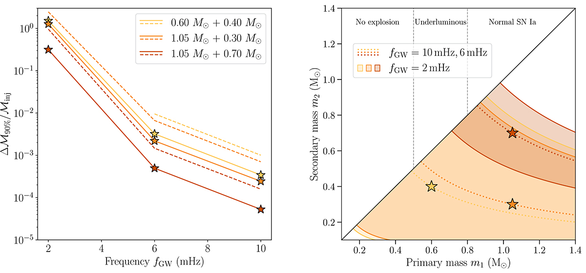
LISA’s capability to measure chirp masses and constrain binary component masses. Left panel: Fractional uncertainty on the chirp mass. Solid (dashed) lines represent face-on (edge-on) binary configurations, and stars denote representative simulated systems. Right panel: Constraints on component masses. The shaded areas between solid lines denote sources at 2 mHz. Dotted lines represent sources at 6 and 10 mHz. These constraints assume that the symmetric mass ratio (i.e. m1m2/(m1 + m2)2) is unknown, and they are sampled from a uniform prior. Vertical dashed grey lines delimit three representative classes: configurations that produce no explosion (m1 < 0.5 M⊙), those likely resulting in a low-luminosity thermonuclear transient (0.5 < m1 < 0.8 M⊙), and those that will likely result in a normal SN Ia (m1 > 0.8 M⊙).
Current usage metrics show cumulative count of Article Views (full-text article views including HTML views, PDF and ePub downloads, according to the available data) and Abstracts Views on Vision4Press platform.
Data correspond to usage on the plateform after 2015. The current usage metrics is available 48-96 hours after online publication and is updated daily on week days.
Initial download of the metrics may take a while.