Fig. 3.

Download original image
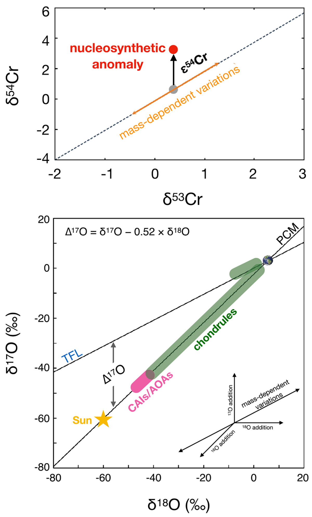
Chromium three-isotope plot showing the line defined by mass-dependent variations (top). 54Cr-excesses relative to this line cannot be explained by any physico-chemical processes and thus correspond a mass-independent anomaly. Bottom: Same but for the oxygen three-isotope plot. Terrestrial rocks all plot along a 1/2 slope line passing through (0,0), called terrestrial fractionation line (TFL). Again, any deviation from this line corresponds to an mass-independent anomaly. The plot also shows the composition of the Sun, of refractory inclusions (CAIs and AOAs) and chondrules, which are all anomalous with respect to Earth. Note: meteorites and chondritic constituents lay along a line of slope ∼1, dubbed the primitive chondrule minerals (PCM) line, Ushikubo et al. (2012).
Current usage metrics show cumulative count of Article Views (full-text article views including HTML views, PDF and ePub downloads, according to the available data) and Abstracts Views on Vision4Press platform.
Data correspond to usage on the plateform after 2015. The current usage metrics is available 48-96 hours after online publication and is updated daily on week days.
Initial download of the metrics may take a while.