Open Access

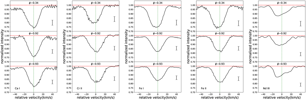
Fig. A.2

image

Download original image

Same as Fig. 5 but for different elements. The rotation phase is marked at the top of each panel. For Nd III, the intensity profiles of 6145.07 Å are directly compared, instead of calculating LSD profiles.

Current usage metrics show cumulative count of Article Views (full-text article views including HTML views, PDF and ePub downloads, according to the available data) and Abstracts Views on Vision4Press platform.

Data correspond to usage on the plateform after 2015. The current usage metrics is available 48-96 hours after online publication and is updated daily on week days.

Initial download of the metrics may take a while.