Open Access

Fig. 1.

image

Download original image

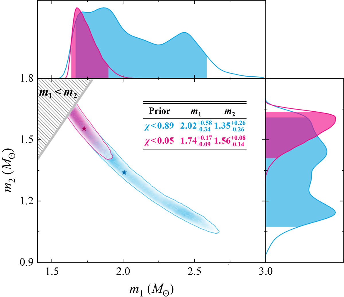
Posterior distributions of the primary and secondary masses of GW190425 by considering low-spin prior (χ < 0.05; pink) and high-spin prior (χ < 0.89; blue). The probability density functions of m1 and m2 normalized to have equal maxima are displayed in the top and right panels, respectively.

Current usage metrics show cumulative count of Article Views (full-text article views including HTML views, PDF and ePub downloads, according to the available data) and Abstracts Views on Vision4Press platform.

Data correspond to usage on the plateform after 2015. The current usage metrics is available 48-96 hours after online publication and is updated daily on week days.

Initial download of the metrics may take a while.