Fig. 4

Download original image
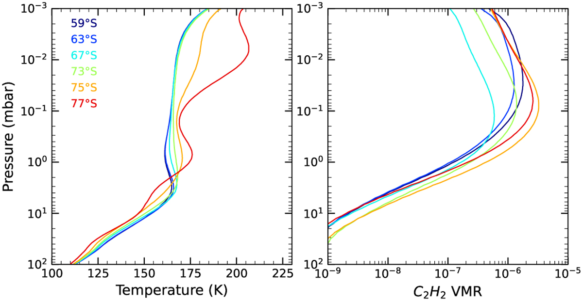
Vertical profiles from Rodríguez-Ovalle et al. (2024). Left: mean latitudinal temperature profiles for certain polar latitudes. The temperature profiles have been derived between 100 and 0.01 mbar. Right: mean latitudinal C2H2 abundance profiles for the same latitudes. The abundance profiles have two degrees of freedom peaking at 5 and 0.1 mbar and have been retrieved using different a priori profiles, depending on the homopause location.
Current usage metrics show cumulative count of Article Views (full-text article views including HTML views, PDF and ePub downloads, according to the available data) and Abstracts Views on Vision4Press platform.
Data correspond to usage on the plateform after 2015. The current usage metrics is available 48-96 hours after online publication and is updated daily on week days.
Initial download of the metrics may take a while.